Inhaltsverzeichnis

Entity-Relationship-Modell (ER-Modell)

Begriffe

Bevor wir zu Beispielen für ER-Diagramme kommen, sollen die wichtigsten Begriffe geklärt werden:

  • Entität (Entity) - eindeutig identifizierbares Datenobjekt
  • Entitätsmenge ( Entitätsklasse) – Zusammenfassung von Entitäten mit gemeinsamen Eigenschaften
  • Attribut – Eigenschaft der Entitätsmenge
  • Attributwert - konkreter Wert eines Attributs
  • Primärschlüssel – minimale Menge von Attributen zur eindeutigen Identifikation der Entität
  • Relationship – Beziehung zwischen Entitätsmengen

Einige Begriffe im ER-Modell entsprechen Begriffen im objektorientierten Modell. So entspricht eine Entität einem Objekt und eine Entitätsmenge einer Klasse. Die Begriffe Attribut und Attributwert kommen in beiden Modellen vor.

Symbole in ER-Diagrammen

Die folgenden Symbole werden in ER-Diagrammen verwendet:

Relationstypen

Insgesamt gibt es zwischen zwei Entitätsmengen drei grundlegende Relationstypen. (Relationen zwischen drei oder Entitätsmengen sollen hier nicht betrachtet werden.)

Beispiele:

Beispiele für Modellierungsaufgaben

Bei der Modellierung von realen Problemen in einer Datenbank kann es sehr viele verschiedene Lösungsmöglichkeiten geben. Deshalb gelten bei den folgenden Aufgaben einige Konventionen, damit die entsprechenden Lösungen möglichst eindeutig ausfallen.

Beispiel 1

In einem Museum (name, adresse, fläche) befinden sich (seit) mehrere Kunstwerke (kennziffer, künstler, entstehungsjahr). Ein Kunstwerk befindet sich nur in einem Museum.

Insgesamt sind zwei Entitätsmengen zu betrachten „Museum“ und „Kunstwerk“. Für die Entitätsmenge „Museum“ ist das Attribut name als Primärschlüssel geeignet, für die Entitätsmenge „Kunstwerk“ das Attribut kennziffer. Zwischen den beiden Entitätsmengen besteht die Relation „befindet sich“ mit dem Attribut seit. Da sich ein Kunstwerk in nur einem Museum befinden kann und sich in einem Museum mehrere Kunstwerke befinden ist die Relation vom Typ n zu 1.

Beispiel 2

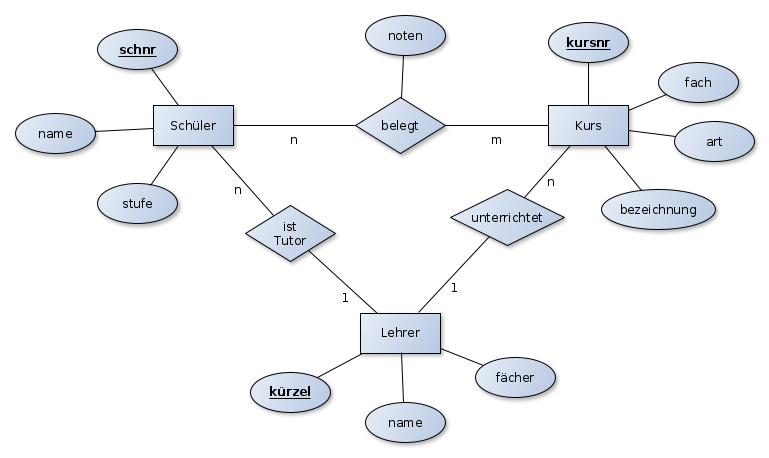
In der gymnasialen Oberstufe einer Schule gibt es Kurse(kursnr, fach, art, bezeichnung), Lehrer(kürzel, name, fächer) und Schüler(schnr, name, stufe). Ein Lehrer unterrichtet mehrere Kurse. Ein Kurs wird nur von einem Lehrer unterrichtet. Ein Schüler belegt mehrere Kurse mit bestimmten Noten (noten). Ein Kurs wird von mehreren Schülern belegt. Ein Lehrer ist Tutor mehrerer Schüler. Ein Schüler hat nur einen Tutor.

Gymnasiale Oberstufe und Schule werden nicht als Entitätsmengen betrachtet, da dahinter keine Attribute stehen. Es gibt also die Entitätsmengen Kurs mit dem Primärschlüssel kursnr, die Entitätsmenge Lehrer mit dem Primärschlüssel kürzel und die Entitätsmenge Schüler mit dem Primärschlüssel schnr. Die Relationen „unterrichtet“ und „ist Tutor“ sind vom Typ n zu 1, die Relation „belegt“ ist vom Typ n zu m und besitzt das Attribut noten.

Erklärvideo

Im folgenden Video werden die Inhalte dieser Seite nochmal erklärt.

>> Programm yed aus dem Video herunterladen


Aufgaben

Erstelle nach den oben beschriebenen Konventionen jeweils das ER-Diagramm!

Aufgabe 1

Eine Firma möchte eine Datenbank für ihre Fahrzeugflotte einrichten. Hierzu sollen die Fahrzeuge(kennzeichen, typ, modell, kraftstoff), die Fahrer (personalnummer, name), die Garagen(nummer) und die Abteilungen (bezeichnung, zimmernummer, telefonnummer) erfasst werden. Ein Fahrer besitzt eine Fahrerlaubnis die für mehrere Fahrzeuge, ein Fahrzeug darf von mehreren Fahrern gefahren werden. Ein Fahrzeug steht in einer Garage, in einer Garage kann nur ein bestimmtes Fahrzeug stehen. Eine Abteilung besitzt (seit) mehrere Fahrzeuge, ein Fahrzeug gehört zu genau einer Abteilung.

Aufgabe 2

In einer Pizzeria werden Pizzatypen (name, preis) aus bestimmten Zutaten (name, vegetarisch(Ja/Nein)) hergestellt. Ein Pizzatyp besteht aus mehreren Zutaten, eine Zutat kann zur Herstellung meherer Pizzatypen verwendet werden. Für einen bestimmten Pizzatyp ist ein Pizzabäcker(name, alter) verantwortlich. Ein Pizzabäcker kann für mehrere Pizzatypen verantwortlich sein.

>> Relationales Modell